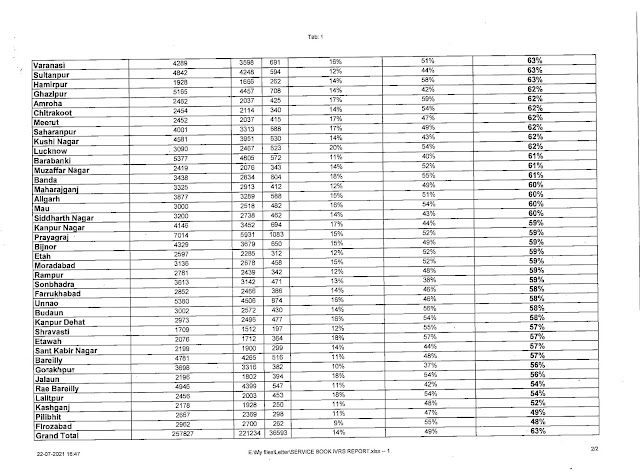
राज्य परियोजना कार्यालय द्वारा आईवीआरएस कॉल के माध्यम से शिक्षकों से फीडबैक लिया गया, प्राप्त फीडबैक से यह संज्ञानित हुआ कि शिक्षकों को अपनी सेवा पुस्तिका अद्यतित कराने में समस्याओं का सामना करना पड़ रहा है, 26 जुलाई से बीआरसी पर विशेष अभियान चलाने का आदेश
राज्य परियोजना कार्यालय द्वारा आईवीआरएस कॉल के माध्यम से शिक्षकों से फीडबैक लिया गया, प्राप्त फीडबैक से यह संज्ञानित हुआ कि शिक्षकों को अपनी सेवा पुस्तिका अद्यतित कराने में समस्याओं का सामना करना पड़ रहा है, 26 जुलाई से बीआरसी पर विशेष अभियान चलाने का आदेश



