शिक्षक सूचनाओं को सीधे प्राप्त करने हेतु जॉइन करें शिक्षक WhatsApp Channel link
शिक्षक सूचनाओं को सीधे प्राप्त करने हेतु जॉइन करें शिक्षक WhatsApp ग्रुप
शेयर मार्केट व म्यूचुअल फंड मे करे निवेश इस एप से
Dhan App
.*
Latest Updates|Recent Posts👇
Home /
PRIMARY KA MASTER /
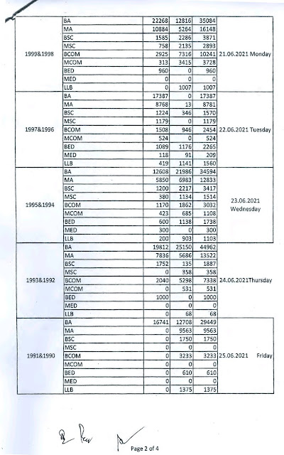
छत्रपति शाहू जी महाराज वि.वि कानपुर, उपाधियाँ निर्धारित शुल्क के साथ विशेष कैम्प लगाकर वितरित किये जाने के सम्बन्ध में





