शिक्षक सूचनाओं को सीधे प्राप्त करने हेतु जॉइन करें शिक्षक WhatsApp Channel link
शिक्षक सूचनाओं को सीधे प्राप्त करने हेतु जॉइन करें शिक्षक WhatsApp ग्रुप
शेयर मार्केट व म्यूचुअल फंड मे करे निवेश इस एप से
Dhan App
.*
Latest Updates|Recent Posts👇
Home /
SHIKSHAMITRA /
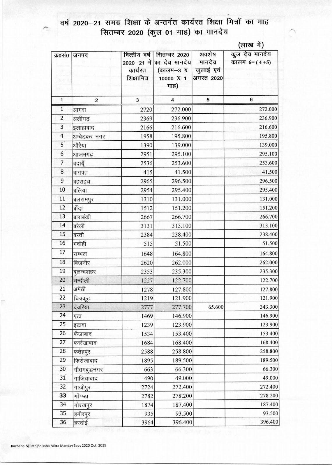
SHIKSHAMITRA: शिक्षामित्र मानदेय(माह सितम्बर, 2020) की धनराशि के प्रेषण के सम्बन्ध में आदेश जारी




