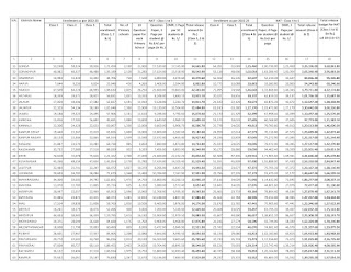
72825 सहायक अध्यापक भर्ती — सुप्रीम कोर्ट कार्यवाही संबंधी अभ्यर्थी विवरण सूची–1 विस्तृत प्रोफॉर्मा जमा करने वाले अभ्यर्थी (16.12.2015 तक) ...
keywords
Primary ka master | primarykamaster | updatemart | updatemarts | uptetnews | upteachernews| up teacher news| basic shiksha news | basic shiksha parishad | basicshikshakparivar| basic shikshak parivar| up basic news | uptet primary ka master | basic shiksha | primary ka master com | up primary ka master | update mart| updatemarts | up basic shiksha parishad | up basic shiksha news | primary ka master news | basic shiksha parishad news | primary master | www updatemarts com | primary ka master shiksha mitra | basic shiksha news today | up basic news today | up basic shiksha | basic news | primary master com | up tet primary ka master | up ka master | www primary ka master com | primary ka master latest news | update marts | updatemart primary ka master | up basic shiksha parishad news | besik shiksha | primary ka master current news today | sarkariresultnews| updatemart 69000 | primary ka master news today | up primary master | primary ka master current news | uptet news primary ka master | praymari ka mastar | teachersclubs
uptet shikshamitra | basic shiksha news up today | primary master news | www primarykamaster com latest news | uptet primary ka master shikshamitra uptet news | primarykamaster latest news | www primary ka master | basic shiksha new | primarykamaster com latest news | up tet news | basic shiksha samachar | basic shiksha parishad latest news | basic ka master | shikshamitra primary ka master | shikshamitra | up update mart | basic shiksha latest news | update primary ka master | up basic shiksha parishad latest news | primary ka master com latest news | basic shiksha news in hindi today | sarkari master | www basic shiksha news | primary ka master news channel | uptet help | uptet primary ka master news | primary ka master in | upmart news | up basic latest news | primary ka master com news | basic shiksha com | nishtha prashikshan | primary ka teacher | basic shiksha news in hindi | uptet updatemart | avkash talika | up basic shiksha mitra | primary ka master uptet | up shiksha mitra | www up basic news | primery shikshamitra com | up basic education news | basic shiksha vibhag | up basic news today | update mart primary ka master | uptet latest update| primarymaster
up primary ka master today news | uptet basic | primary ka | up shiksha news | uptet update mart | up primary ka master news | basic shiksha mitra news | www up shiksha mitra com | primary ka master updatemart | up basic shiksha latest news | www basic shiksha mitra news | www basic shiksha parishad news | uptet primary master | updatemarts news | uptet blog | uptet news | uptet latest news | up tet news | uptet help | only for uptet | uptet com | uptet shikshamitra | uptet latest news and updates | www up tet com | uptet latest news | uptet 2011 | up tet news com | up tet news primary ka master | up tet today | uptet blogspot | uptet com | uptet latest news today | sarkari master | uptet blogspot news | uptet shikshamitra latest news | sarkari result| sarkariresult| pdf to jpg| jpg to pdf| sarkari results| sarkariresults| hindi news| hindi news today| cricbuzz| bhulekh| sarkari exam|
uptet news com | latest news of uptet 2011 primary teacher of today | uptet4 | news4bsp | uptet breaking news | aaj ka primary ka master | sarkari naukari uptet | uptet update news | uptet latest news updates | uptet teacher latest news | news 4 uptet | only4uptet.in | only4uptet | up tet help | uptet current news | uptet blogspot com | uptet blogger 2011 | uptet latest | up tet primary ka master | join uptet | www up tet news | uptet sarkari news | uptet uptet latest news | shikshamitra uptet | uptet shikshamitra news today | uptet news primary ka master | uptet primary| b-rup| Primary ka master, Uttar Pradesh is the number one education portal| uptet 2021| uptet 2022 | Updatemartnews | up tet| tet news | gurijiportal| RTET| HTET| upkamaster| basicshikshakhabar| primarykateacher| primary ka teacher
Primary Ka Master District News Channel, Basic Shiksha News, बेसिक शिक्षा समाचार, | प्राइमरी का मास्टर , Primary Ka Master, Shikshamitra, समाचार, primarykamaster, BTC, BED, MDM, UPTET, बेसिक शिक्षा, MDM, LEAVE, CCL
Insurance, Lawyer, Mortgage, Attorney , Donate, Conference call, Degree, Credit, Electricity, SEO, auto insurance quotes, workers compensation insurance, car insurance quotes, compare car insurance online, buy car insurance online, auto insurance, commercial auto insurance, small business insurance, professional indemnity, general liability insurance, e&o insurance, business insurance, car insurance, insurance quotes,
सूचना
इस वेबसाईट पर जो सूचना दी जाती है । उसे सही देने का प्रयास किया जाता है परन्तु किसी सूचना पर गलती या कोई दोष पाया जाता है, किसी प्रकार की छुट्टी का आदेश हो उसे आप अपने विभाग से पूरी जानकारी कर ले, क्यो कि कभी कभी किसी के द्वारा कुटरचित आदेश वायरल किया जाता है। उसे असली समझकर वेबसाईट पर डाल दिया जाता है, इसलिए आप एैसे आदेश को अपने विभाग से पूरी जानकारी कर ले। तो पबलिसर वेबसाईट ओनर दोषी नही होगा। इस ब्लॉग की सभी खबरें शोसल मीडिया से लीं गयीं कृपया खबर का प्रयोग करने से पहले वैधानिक पुष्टि अवश्य कर लें.इसमें ब्लॉग एडमिन की कोई जिम्मेदारी नहीं है. पाठक खबरे के प्रयोग हेतु खुद जिम्मेदार होगा