शिक्षक सूचनाओं को सीधे प्राप्त करने हेतु जॉइन करें शिक्षक WhatsApp Channel link
शिक्षक सूचनाओं को सीधे प्राप्त करने हेतु जॉइन करें शिक्षक WhatsApp ग्रुप
शेयर मार्केट व म्यूचुअल फंड मे करे निवेश इस एप से
Dhan App
.*
Latest Updates|Recent Posts👇
Home /
PRIMARY KA MASTER /
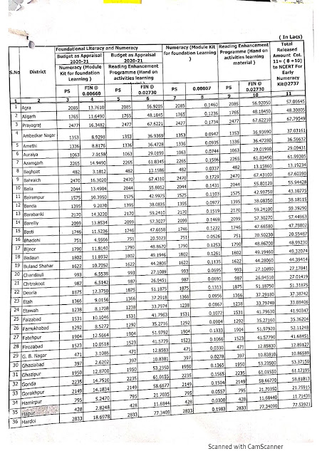
PRIMARY KA MASTER: प्राथमिक विद्यालयों हेतु फाउण्डेशन लेटरेसी एण्ड न्यूमरेसी मद में पी0एम0एस0 पोर्टल में अंकन किये जाने के सम्बन्ध में।








